Received: July 31, 2025; Revised: November 25, 2025; Accepted: December 5, 2025

Research article

The Common Agricultural Policy and income disparities in Italian agriculture

Maria Rosaria Pupo D’Andrea , Felicetta Carillo , Alfonso Scardera , Roberto Henke*

CREA – Research Centre for Agricultural Policies and Bioeconomy, Italy

*Corresponding author. E-mail: roberto.henke@crea.gov.it

Abstract. This paper investigates the persistence of territorial disparities in agricultural income across Italian macro-regions, with a particular focus on the role of the Common Agricultural Policy (CAP). Drawing on the Italian Farm Accountancy Data Network (FADN) dataset, this study develops and applies a set of income indicators to examine whether CAP support has contributed to narrowing or widening regional agricultural income gaps at the farm level. The results confirm that despite the redistribution efforts embedded in the CAP, especially through the internal convergence mechanism, the agricultural income gap between North and South Italy has persisted and, in some cases, widened. Regression analyses at the farm level reveal that CAP support, though relatively higher in South Italy, has not sufficiently counterbalanced the lower market-based income. The findings suggest that while the CAP is not designed as a redistributive instrument, it has had a limited impact on fostering income convergence in agriculture. These results underscore the need for a more integrated and place-based policy mix to promote balanced development and to foster fair development in rural areas.

Keywords: farm income, CAP, Mezzogiorno, agricultural disparities, FADN.

JEL codes: Q12, Q18, R11.

Index

Highlights

1. Introduction

2. Literature review

3. Methodology and data

4. Results

4.1. The gap in agricultural income at the Italian sub-national level

4.2. The agricultural income gap and the role of the CAP at the farm level

5. Discussion

6. Conclusions and policy implications

Acknowledgements and Funding

Author Contributions

References

Highlights

– The design of the new CAP is more place-based than before, yet territorial agricultural income disparities persist at both macro and micro levels.

– South Italy shows persistently lower farm incomes despite higher support.

– CAP support has not significantly reduced macro-regional agricultural income gaps.

– In South Italy, a gap in farm value added and labour productivity persists.

1. Introduction

Since its inception, the Common Agricultural Policy (CAP) has undergone significant changes to better align with the objectives set out in the European Union (EU) treaties. In doing so, the European Commission has progressively moved from a centralised mode of intervention to a CAP closer and more targeted to the different territories of an EU which has grown significantly (Frascarelli et al., 2025; Greer, 2017; Guyomard et al., 2024; Henke et al., 2018). The 2023-2027 CAP reform further extended and organised the CAP goals into 10 Specific Objectives (SOs) addressing the three pillars of sustainability: economic, environmental, and social. The CAP instruments have been organised into a single programming document, the CAP Strategic Plan (CSP), which is drawn up by each Member State (MS).

These changes have transformed the CAP from a single, centralised, top-down policy for all MSs (“one size fits all”) to a multidimensional policy that specifically addresses the diverse European rural territories according to a place-based approach. Although this approach does not openly declare such an intention, it nonetheless acknowledges the diversity of agricultural and rural contexts within the EU and individual MSs (Chmieliński et al., 2025; Crescenzi et al., 2015; Duhr et al., 2010; Mantino et al., 2022). This has been made possible by a greater degree of flexibility, enabling MSs to adapt the relevant policy tools to the specificity of their agriculture and rural territories within a common framework (Henke et al., 2018).

Although the CAP was never intended to be a redistributive policy aimed at addressing territorial disparities in agriculture (Alexiadis et al., 2013; Shucksmith et al., 2005), its evolution has resulted in a significant expansion of its objectives, with an increasing focus on the resilience of the primary sector, fairer income and financial support distribution, and improving the quality of life in rural and disadvantaged areas (Giannakis, Bruggeman, 2020; Shucksmith et al., 2009). Within the second pillar of the CAP, the measures explicitly focus on improving living conditions in rural territories, overtaking the traditional centre-periphery opposition and promoting balanced economic and social development within environmental boundaries (Salvati et al., 2017; Uthes, Herrera, 2019). In contrast, support via the first pillar is secured through a direct payment system, which in turn redefines income distribution at the sectoral and territorial levels (Dinis, 2024; Ilies et al., 2023).

In recent years, Italy has been a large beneficiary of EU support through the CAP and the Cohesion Policy, which aims to reduce territorial disparities across the EU’s regions (Molica, Santos, 2025), with South Italy (called frequently “Mezzogiorno”) receiving a large portion of the resources, given the gap in most economic and social indicators (Mingo, 2023). This is not a novel condition: after the Second World War and even before the EU had been founded, there had been a “Mezzogiorno problem” as part of centre-periphery dualistic development, which has diverted generous resources towards that part of the country, with the main goal of filling, or at least reducing, the development gap (Dean et al., 1972; Giannola, 2009; Lepore, 2012). Agriculture was definitely part of the financial project, so the sectoral income gap, originally identified as a national “agricultural problem”, progressively turned into a focus on South Italy.

The persistence of the discrepancy in regional economic development between North and South Italy has led scholars to investigate this lagging condition despite specific public support (Barca, 2001; Daniele, 2021; Giarda, Moroni, 2018; Iuzzolino et al., 2011; Podbielski, 1981; Salvati et al., 2017; Watson, 1970). This phenomenon is often described internationally as the “Mezzogiorno trap”, which is a specific feature of the more general “Mezzogiorno problem”. The Mezzogiorno trap refers to regions that depend on external support, rather than internal economic activities, to reduce their development gap with more advanced areas. However, disparities re-emerge and widen in the absence of such support, perpetuating a cycle of underdevelopment (Li et al., 2023; Molica, Santos, 2025). The Mezzogiorno trap has become emblematic of South Italy, but similar phenomena have been observed in other parts of the world, such as in Germany after reunification; the Rust Belt in the United States, where industry has declined; and, more recently, remote regions of China (Li et al., 2023).

The Mezzogiorno trap refers especially to economic aspects. However, it affects social and environmental conditions, highlighting situations of social injustice and differentiated impacts of pollution and territorial degradation on the population. These impacts are primarily related to disparities in quality of life in rural areas and services offered to the local population (Bartolini, Pagliacci, 2017; Camarero, Oliva, 2019; Mihai, Iatu, 2020). In the case of the CAP, these dynamics are reinforced by the multidimensional and multiscope nature of the policy itself, which acts as a multiplier on the links among sectors and territories (Dumangane et al., 2021; Papadopoulos, 2015).

Over time, and especially in light of the average positive response in Italy to CAP and other EU support, the lagging development of regions in South Italy and the gap with the rest of the country have been neglected. This has happened in favour of the growth of Italy in the European context. Consequently, the concept of Italy’s two-tier development has not only been accepted as an inevitable condition, but has also largely been overlooked in most studies and reports, despite the occasional national or local voice attempting to highlight the paradox of South Italy and the growing gap with the rest of the country (Accetturo et al., 2022; De Filippis, Henke, 2014; Fabiani, Henke, 2020; ISMEA, Svimez, 2017; Quadro Curzio, Fortis, 2014).

The income gap between farm and non-farm households in rural and non-rural areas is well documented and has been widely investigated (Marino et al., 2024; Meloni et al., 2024). The persistence of this gap in Italy, where the average agricultural income is lower than that of the rest of the economy, is the basis for national choices to achieve SO1 (support viable farm income and the resilience of the agricultural sector across the EU) within the national 2023-2027 CSP. Fewer studies have focused on the agricultural income gaps at the regional level in Italy, dealing especially with the effects of rural development policies (Mantino et al., 2022).

In this paper, we aim to address this research gap by highlighting the ongoing disparity in agricultural income at the farm level between Italy’s different macro-regions (i.e., North, Centre, and South). More specifically, we investigate how this disparity has evolved over time and the influence of CAP support (both pillars) on this trend. Has it contributed to reduce this gap, or has it, perhaps unintentionally, increased it?

We examine the CAP programming period 2014-2022, using data from the Italian Farm Accountancy Data Network (FADN). During this period, a process of gradual equalisation in the distribution of CAP direct payments among farmers was initiated. As an indirect consequence of this measure, resources have been shifted from lowland areas with intensive agriculture to mountainous areas, marginal rural areas, and peripheral and ultra-peripheral inland areas (Pierangeli et al., 2025). This trend has been strengthened by Italy’s 2023-2027 CSP, which emphasises what was already in place in the previous programming periods about local development, institutionalising the involvement of economic, social and environmental stakeholders along a scheme of participative approach (Henke et al., 2025; Pierangeli et al., 2023, 2025).

The objective of this study is twofold. First, we investigate the persistence of territorial agricultural income gaps between the Italian Mezzogiorno and the rest of the country, and to analyse, through the calculation of a specific indicator, whether the two components of agricultural income – market income and CAP support – move in the same or opposite directions. Second, we aim to determine whether the gaps that emerge at the level of the entire agricultural sector stand out at the farm level, and the role played by CAP support of both pillars. We estimate average performance measures for farms located in the different Italian macro-regions. Specifically, using several regression models, we predict farm profitability through variables representing macro-regional fixed effects, including some farm characteristics (size and production specialisation), to control for individual fixed effects.

The remainder of the article is structured as follows. Section 2 provides a review of the literature investigating the linkages between the CAP and territorial disparities in agricultural income. Section 3 presents the methodology and data used in our analysis. Section 4 presents the results of our analyses aimed at identifying the existence of an agricultural income gap at the Italian macro-regional level, examining the role of CAP subsidies at the farm level. Section 5 discusses these results. Finally, Section 6 concludes the paper and explores policy implications and future developments of the research.

2. Literature review

Many contributions on income gaps in Europe and Italy focus on regional policies and Cohesion Funds, and deal only marginally with the CAP. The analysis of the role of the CAP in reducing economic disparities between territories has usually been confined, for legitimate reasons, to the policies with a more genuine territorial approach and objectives, such as the rural development policies. There has been much less research dealing with the first pillar of the CAP and, specifically, direct payments, which represent by far the largest share of resources devoted to farmers and landing in rural areas. It is worth noting that, despite a rather stable structure and set of goals for the CAP, the tools have changed, and the policy has progressively become more place-based, greener, and tailored and targeted towards territories and the actors involved. However, most recent analyses have focused more on environmental and sectoral effects rather than territorial development and income gaps (De Castro et al., 2020; Guyomard et al., 2023). For this reason, even if the issue of income gaps has never been clearly mentioned in the set of the CAP goals, the impacts of the different measures implemented have had varying intensity on such gaps (Frascarelli et al., 2025; Hill, 2008; Pierangeli et al., 2025). Moreover, the organisation of tools into pillars after 1999 has somehow increased attention to this issue, because the second pillar pays explicit attention to territorial disparities and shows more similarities with the Cohesion Policy than the first pillar of the CAP, both in its theoretical approach and instruments (Dax, 2006; Dwyer et al., 2006). In any case, the findings vary significantly depending on several factors: the territorial scale of the analysis, the variables under examination, the period considered, and whether the CAP is examined in isolation (and which pillar it refers to) or alongside structural policies.

Lillemets et al. (2022) reviewed the literature on the impact of the CAP on the socioeconomic condition in the EU’s rural areas. Limited or no conclusive evidence emerges from studies when the focus is on regional cohesion. According to Crescenzi, Giua (2016), “spatially blind” measures (i.e., those applied uniformly across the territory) appear to foster growth in the most disadvantaged and peripheral regions, while spatially targeted rural development measures have a positive influence only in the most advanced regions. In terms of spillover effects, studies have shown that CAP funds – although primarily aimed at the agricultural sector and rural areas – affect the entire economy, demonstrating greater effectiveness and efficiency in developed regions, with economic effects spilling over into wealthier urban areas (Bonfiglio et al., 2016; Montresor et al., 2011). Esposti (2007) investigated the impact of both the CAP and structural policies on European regions and found that the CAP positively impacts the convergence process but with negligible effects, sometimes conflicting with structural policies that aim to promote growth in lagging regions. Crescenzi, Giua (2014) looked at the impact of the Cohesion Policy and the first and second pillars of the CAP in 139 European regions (Nomenclature of Territorial Units for Statistics, level 2 [NUTS2]) in 12 MSs and showed how regional and agricultural policies work together in favour of regional economic growth. When looking at the effect of the single policies, the authors highlighted how the effects of each pillar of the CAP depend greatly on the starting points of the local contexts. In more dynamic areas, rural development resources also seem to contribute significantly to growth. In less developed areas, some positive effects can be connected to the first pillar measures (which have no links to the development rate of areas), which do not require bottom-up planning but are rather top-down directed to territories. In their detailed review on the coherence of EU policies, Mikuš et al. (2019) emphasised the need for better coordination of top-down and bottom-up policies to focus more efficiently on economically disadvantaged areas and thus to reduce territorial gaps and improve cohesion in Europe. Crescenzi, De Filippis (2016) and Crescenzi et al. (2015) highlighted the importance of better designing and implementing all the policies addressing economic development in less-developed regions to effectively allocate resources through appropriate place-based allocation mechanisms. Similarly, Calegari et al. (2021) suggested combined financing of both policies in developing regions to boost convergence. The Organisation for Economic Co-ordination and Development (OECD, 2021) also advocated greater coordination and complementarity between CAP rural development measures and the Cohesion Policy, given the importance of the agricultural sector in developing regions.

More recently, Chmieliński et al. (2025) analysed the relationship between the Cohesion Policy and the first pillar of the CAP in the 2007-2013 programming period and identified cases where synergies or conflicts occur when these policies overlap within the same region. The authors found that in structurally disadvantaged regions, the two policies work jointly towards regional development goals. Although the extent of positive spillovers between the policies remains to be assessed, the authors concluded that a relevant factor in explaining how funds are absorbed is the specificity of the region or its specialisation.

Another stream of the literature has shed light on the disparities in the distribution of funds, which increase, rather than reduce, regional imbalances and limit the effectiveness of funds in promoting a fairer regional development. Based on their evaluation of trends and gaps among MSs, Manta et al. (2024) highlighted several divergences, both in terms of resource distribution (first and second pillar) and the impact on regional development. The authors identified three types of variables to explain the regional disparities – economic diversification, institutional capacity, and geographical accessibility – and they added human capital, historical disadvantages, and the way public intervention is planned and implemented. The authors stressed the persistence of territorial disparities, despite the generous financial support of development funds, due to the unequal distribution of resources and their diversified regional impact. Martínez García et al. (2024) focused on demographic aspects in Extremadura (Spain) and showed how CAP support tends to favour more dynamic territories rather than remote and marginalised ones, leaving these areas behind. On the contrary, Galluzzo (2021) explored the impact of CAP support (the first and second pillars) on the reduction of the level of poverty and emigration and found a positive and significant impact of CAP subsidies allocated under both pillars in reducing marginalisation in Romanian rural areas. In evaluating the impact of the CAP on the territorial development of rural areas, the European Commission (2021) also found that both pillars have had a positive effect in promoting balanced territorial development. However, improvements in socioeconomic conditions and social inclusion depend on the specific characteristics of each rural region and the mix of policies implemented. Hansen, Teuber (2011) provided a more nuanced conclusion. They compared farmers’ revenues and disposable income, with and without the CAP, for two different periods at the sub-regional level in Germany. The findings revealed that the CAP tends to attenuate differences in agricultural incomes across regions but does not prevent significant divergence over time. Additionally, CAP transfers reduce inequality in per capita disposable income across regions within society as a whole, but their impact on regional convergence is negligible.

Hansen, Herrmann (2012) reviewed the contribution of the CAP impact on territorial cohesion and highlighted ambiguity in the results. These studies refer to the “old” CAP, prior to the decoupling of support implemented with the 2013 reform (Anders et al., 2007; Bivand, Brunstad, 2003, 2006; Esposti, 2007; European Commission, 2001; Hansen, Teuber, 2011; Shucksmith et al., 2005; Tarditi, Zanias, 2001). Hansen, Herrmann (2012) were able to explain the dissimilarity in the results by developing a conceptual framework for assessing the policy impacts of the CAP on economic cohesion that distinguishes between the redistributive impact at a defined time and the change in redistribution impact over time. Based on an analysis of the 1991-2009 period in 13 German regions, they concluded that while the CAP reduces territorial disparities each year, it does not affect income convergence for society as a whole over time.

In this work, we have reviewed studies that reflect a wide range of approaches to the issue of the CAP and agricultural income gaps. However, to our knowledge, recent research has not addressed disparities across Italian macro-regions, particularly the so-called Mezzogiorno trap. We aim to fill this gap by examining the existence and evolution of agricultural income differences at both the macro-regional and farm levels in Italy, focusing specifically on South Italy compared with the rest of the country, and assessing the extent to which CAP support from both pillars influences these disparities.

3. Methodology and data

Disparities in agricultural income at the sectoral level are commonly analysed through three indicators, elaborated by Eurostat and defined in the Economic Accounts for Agriculture (EAA)1. The EAA offers detailed information on agricultural performance and income at the national (NUTS1) and regional (NUTS2) levels; however, at the regional level, the data are only available at current prices. The EAA provide a wide range of variables on the economic activities in the agricultural sector. These include output, intermediate consumption, gross and net value added, gross fixed capital formation (GFCF), compensation of employees, other taxes and subsidies on production, net operating surplus or net mixed income, property income, and net entrepreneurial income.

The three indicators of agricultural income defined in EAA Regulation 138/2004 are:

– Indicator A: index of the real income of factors in agricultural per annual work unit (AWU), corresponding to the real net value added at factor cost of agriculture per total AWU;

– Indicator B: index of real net agricultural entrepreneurial income per unpaid annual work unit, presenting the changes in net entrepreneurial income over time, per non-salaried AWU;

– Indicator C: net entrepreneurial income of agriculture, an income aggregate presented as an absolute value (or in the form of an index in real terms), allowing comparability over time of the income of the agricultural sector between MSs.

These indicators are calculated at the national and, where possible, regional levels. They are used to analyse the trend of agricultural income performance of an MS over time or to compare performance between MSs (Andrei et al., 2023; Eurostat, 2018; Kiss, 2020; Matthews, 2024; Runowski, 2020; Schmid et al., 2006).

To identify the presence of an income gap between geographical macro-regions in Italy – North, Centre, and South – we calculated values at the sub-national level using FADN data as weighted averages (Cirianni et al., 2021). Furthermore, to highlight the role of the CAP in agricultural income, we separated the CAP support included in the operating account from the net farm income, resulting in the calculation of Indicator D, namely net farm income, which is the net support2 granted on an operating account basis. We calculated this indicator only based on the Italian FADN survey data, and this calculation applies only within the scope of the analyses conducted in this study. We carried out this new analysis based on the study by Coppola et al. (2020), who showed how public support affects farms’ economic outcomes.

To assess the robustness of our data, we compared Indicators A, B, and C, calculated using the FADN data at the national level, with the values calculated by Eurostat from 2014 to 2022. We set the nominal values to 100 to highlight the observed deviations more easily.

We performed four ordinary least squares regressions to characterise the trends in the agricultural income gap at the farm level. The first two estimated the changes in the differences in the average agricultural incomes between farms belonging to the Italian macro-regions, which emerged before and after the 2014-2022 CAP programming period. The other two regressions estimated the changes in the CAP subsidies received by farms in the same years.

We used the Italian FADN 2014 data as a baseline, and the 2022 data to estimate differences in the dependent variables. For both years, the FADN samples, representative of regional agriculture, comprise approximately 11,000 farms. Overall, the dataset includes 21,657 observations.

The dependent variables are the farm net value added (FNVA)3, the FNVA per AWU, the annual CAP support and the CAP support per AWU. The explanatory variables for all regressions are described below. We included a dichotomous variable (year), with a value of 0 for the year 2014 and 1 for the year 2022, to capture how the dependent variable increases or decreases over time. Our variable of interest is a categorical variable indicating whether the farm is North, Central, or South Italy. By multiplying this categorical variable by the year variable, we can estimate how the conditional means of the dependent variables vary by farm location in each year (2014 and 2022). Therefore, the difference between the coefficients in the years informs us whether the gaps between the macro-regions have increased, decreased, or remained the same.

We considered sector fixed effects in the model by using a categorical variable that indicates whether a farm specialises in arable crops, permanent crops, livestock, or mixed production. The economic size of the farm is also included as an explanatory variable to control for differences in farm characteristics. Farms were classified as small (Standard Output [SO]4 8,000-25,000 euros), medium (SO 25,001-100,000 euros), or large (SO > 100,000 euros), corresponding to a value equal to 1, 2, and 3, respectively.

The variable CAP support, expressed in euros, measures the effects of public support on the FNVA level. We used it to estimate, through our variable of interest, the net gap per farm and per AWU, which depends on the market.

We estimated a weighted regression model using farm-level data, where weights represent the expansion factors used to project the sample to the reference population. Finally, the standard errors are clustered at the regional level to account for the potential within-region correlation of residuals. It is worth noting that the model is designed to estimate the changes in agricultural income differences between macro-regions over time, controlling for farm size, CAP support, and productive specialisation. While our analysis focuses on these conditional differences, it does not aim to identify causal effects of CAP support or other control variables. However, some limitations of the analysis should be noted. The analysis relies on only two years (2014 and 2022), which limits the ability to capture intermediate trends or to distinguish temporary from persistent changes in regional agricultural income differences. Moreover, while the model controls for CAP support, farm size, and sectoral specialisation, these variables are not interpreted causally; the interaction between Year and macro-region reflects conditional differences rather than causal effects.

4. Results

4.1. The gap in agricultural income at the Italian sub-national level

Based on Eurostat and FADN data, Indicator A remained stable until 2020 and then increased over the following two years, reaching a level approximately 20% higher than its 2015 value (Figure 1)5. A similar trend was observed for Indicator B, which increased by around 25% according to both data sources (Figure 2).

Figure 1. Trend of Indicator A (index of the real income of factors in agriculture per annual work unit) over time. Note: the data are presented relative to 2015, which was set at 100. Source: Eurostat (2025) and authors’ elaborations based on the Italian Farm Accountancy Data Network (FADN) dataset for 2014-2022.

Figure 2. Trend of Indicator B (index of the real net agricultural entrepreneurial income, per unpaid annual work unit) over time. Note: the data are presented relative to 2015, which was set at 100. Source: Eurostat (2025) and authors’ elaborations based on the Italian Farm Accountancy Data Network (FADN) dataset for 2014-2022.

We noted a small discrepancy between the two data sources in the final years of the 2014-2022 period with respect to Indicator C (Figure 3). Based on the EAA data, profitability remained essentially stable, whereas the FADN data indicated an increase of more than 20%, consistent with the patterns observed for Indicators A and B.

Figure 3. Trend of Indicator C (net entrepreneurial income of agriculture) over time. Note: the data are presented relative to 2015, which was set at 100. Source: Eurostat (2025) and authors’ elaborations based on the Italian Farm Accountancy Data Network (FADN) dataset for 2014-2022.

What additional insights do the FADN data provide on territorial disparities in agricultural income and the role of CAP support? The geographical breakdown of the FADN data shows increasing remuneration of farm work units – both overall (Indicator A) and for family work component specifically (Indicator B) – favouring the North and Central Italy relatively to South Italy (Figure 4).

Figure 4. Geographical trend of Indicator A (index of the real income of factors in agriculture per annual work unit) and Indicator B (index of real net agricultural entrepreneurial income, per unpaid annual work unit) over time. Note: the data are presented relative to 2015, which was set at 100. Source: authors’ elaborations based on the Italian Farm Accountancy Data Network (FADN) dataset for 2014-2022.

Over the analysed period, the gap between the three major Italian macro-regions in terms of farm profitability, as indicated by Indicator C, has widened (Figure 5). The decline in profitability observed until 2019, linked to the global economic crisis that also affected Italy, was followed by a period of growth. This growth was particularly strong in North Italy, where profitability increased by over 40% compared with 2015. In Central Italy, the increase was more moderate (around 25%) and only became evident in 2022. In contrast, after experiencing growth in 2020 and 2021, in 2022 farm profitability in South Italy returned to the same levels as in 2015.

Figure 5. Geographical trend of Indicator C (net entrepreneurial income of agriculture) over time. Note: the data are presented relative to 2015, which was set at 100. Source: authors’ elaborations on the Italian Farm Accountancy Data Network (FADN) dataset for 2014-2022.

When separating the component of CAP support granted for production (excluding investment aid)6 from net farm income (Indicator D), CAP support seems to have little to no influence in reducing geographical agricultural income disparities through farm profitability support (Figure 6). In fact, across all three Italian macro-regions, the trend in CAP support is very similar, with deviations limited to just a few percentage points, clearly insufficient to balance out the recorded agricultural income gaps. Moreover, in certain cases, such as in 2020, public support even increased in North Italy, precisely where agricultural income was also rising.

Figure 6. Geographical trend of Indicator D (net entrepreneurial income of agriculture, net of CAP support) over time. Note: the data are presented relative to 2015, which was set at 100. Source: authors’ elaborations on the Italian Farm Accountancy Data Network (FADN) dataset for 2014-2022.

4.2. The agricultural income gap and the role of the CAP at the farm level

Table 1 presents descriptive statistics for 2014 and 2022 on the structural composition of the sample and key farm performance indicators utilised in the analysis. The FADN sample is relatively balanced over time, with around 10,500 observations in 2014 and 11,000 in 2022. North Italy consistently accounts for the largest share of farms, followed by South and Central Italy. This reflects the actual geographical distribution of Italian agriculture, confirming that these data are representative and useful for comparison.

Table 1. Descriptive statistics of farm characteristics and performance indicators.
2014 2022
North Centre South Total North Centre South Total
Sample (N.) 4.573 2.005 3.995 10.573 4.844 1.937 4.303 11.084
Sample (%) 43 19 38 100 44 17 39 100
Type of farming % over total of macro-region
Arable crops 38 44 30 36 36 44 29 35
Permanent crops 27 25 35 29 30 28 40 33
Livestock 30 23 29 28 28 20 25 25
Mixed 6 9 6 6 6 8 6 6
Small 24 25 30 26 16 23 25 21
Medium 40 42 46 43 44 42 47 45
Large 36 33 25 31 41 34 28 35
Variables Mean (euros)
Farm net value added 98.305 67.910 63.231 79.289 115.025 75.126 60.574 86.914
Farm net value added/ AWU 36.790 28.736 25.993 31.183 44.221 36.985 29.976 37.426
CAP operating aids 17.817 15.365 12.080 15.184 18.334 20.334 14.478 17.186
CAP operating aids/AWU 8.448 9.150 7.501 8.223 9.137 12.752 9.814 10.032
Note: AWU, annual work unit; CAP, Common Agricultural Policy.
Source: authors’ estimations based on the Italian Farm Accountancy Data Network (FADN) dataset for 2014-2022.

The composition by farm type shows evident regional specialisation: arable crops dominate in Central Italy, while permanent crops are concentrated in South Italy. North Italy maintains a more diversified structure, with a notable presence of livestock farms. There are also differences in farm size, with large farms more common in North Italy (41% in 2022) and smaller farms relatively more frequent in South Italy (25%), highlighting structural asymmetries.

In terms of economic performance, North Italy displays higher FNVA and productivity levels. Between 2014 and 2022, the average FNVA increased markedly in North Italy (+17%) but remained almost unchanged in South Italy, widening the regional agricultural income gap. FNVA per AWU showed a similar pattern, with a value of 44,221 euros for North Italy and 29,976 euros for South Italy.

CAP income support is higher in North and Central Italy, although South Italy continues to receive comparatively lower payments (both total and per AWU). Overall, there seems to be a persistent and possibly widening North-South divide in farm structure and performance.

Table 2 reports the results of our regressions with respect to four different dependent variables: FNVA, FNVA per AWU, CAP support and CAP support per AWU, all expressed in euros.

Table 2. The results of the ordinary least-squares regressions.
Variables Y=Farm net Value added Y=Farm net Value added/ AWU Y= Cap income support Y= Cap income support/AWU
year 2014 base base base base
year 2022 13,974.9*** 5,856.4*** 450,5 184,3
North * year 2014 base base base base
Centre * year 2014 -6,145.5 -6,678.8*** 697,3 334,2
South *year 2014 -7,412.6 -3,730.1*** 1,542.6*** 1,247.1***
North * year 2022 base base base base
Centre * year 2022 -19,988.9*** -5,940.2*** 2,196.6*** 2,378.6***
South * year 2022 -24,461.3*** -8,900.0*** 845.1** 1,910.8***
Arable crops base base base base
Permanent crops 5,515.3* -2,433.6** -4,222.0*** -4,639.7***
Livestock -1.574,2 -1.318,3 744.8** -502.8**
Mixed -7,768.2** -4,953.3*** 301,1 -1,398.3***
Small base base base base
Medium 12,816.5*** 8,293.3*** 3,979.0*** 1,926.8***
Large 91,129.2*** 25,508.7*** 20,966.5*** 5,872.9***
CAP support 1.8*** 0.4***
Constant 8,473.2* 19,358.0*** 4,616.4*** 6,172.6***
Observations 21,226 21,225 21,226 21,225
R-squared 0.4 0.3 0.2 0.1
Notes: Significance levels: *** p < 0.01, ** p < 0.05, and * p < 0.1; AWU, annual work unit; CAP, Common Agricultural Policy.
Source: authors’ estimations based on the Italian Farm Accountancy Data Network (FADN) dataset for 2014-2022.

Regarding the validity of models, based on the R squared values, the first two regression models explain 40% and 30% of the variation in FNVA per farm and per AWU, respectively, which can be considered reasonable given the complexity of the phenomenon. On the other hand, the regressions only explain 20% and 10% of the variation in CAP income support per farm and per AWU, respectively. However, given the use of individual-level data, where substantial unexplained heterogeneity is expected, we are confident that the results are valid and informative. The multicollinearity test yields a mean variance inflation factor (VIF) of approximately 1.5 for all regressions, indicating the absence of multicollinearity. This suggests that the predictors are not highly correlated with each other and therefore do not inflate standard errors or compromise the stability of the model estimates.

The intercept term in each regression represents the average expected value for the response variable when all of the predictor variables are equal to zero. In the first regression presented in Table 2, the coefficient of the constant term tells us that, in 2014, the average FNVA of a small farm located in North Italy receiving zero public support, and specialising in the production of arable crops is about 8,500 euros (column two). The transition from 2014 to 2022 has led to an average increase in the FNVA, all other things being equal, of about 14,000 euros per farm, shifting the constant to about 22,500 euros.

Importantly, our variable of interest, given by the interaction between the macro-region variables and the dummy Year, shows how being located in either Central or South Italy reduces the estimated average FNVA for farms, net of public support.

The regression coefficient for the predictor variable represents the difference in the predicted value of the response variable for each one-unit change in that predictor, assuming all other variables remain constant. All else being equal, in 2014, relative to farms in North Italy, the average FNVA was 6,145 euros lower for farms in Central Italy and 7,412 euros lower for farms in South Italy. The difference was even more pronounced in 2022: 19,989 euros for farms in Central Italy and 24,461 euros for farms in South Italy. These substantial differences could be due to varying price dynamics within the same sector across macro-regions, differences in the sectors in which each macro-region is specialised, or other factors.

As shown in column three, the interaction coefficients clearly indicate a widening productivity gap among the macro-regions over time. Overall, FNVA per AWU increased from 2014 to 2022, but it was significantly weaker for farms in South Italy compared with farms in North Italy. The 2022 interaction coefficient for South Italy is strongly negative and substantially larger in magnitude than the corresponding coefficient for 2014, suggesting that the relative disadvantage of farms in South Italy increased during this time period. The result is the same after controlling for farm specialisation, farm size, and CAP income support. The control variables behave as expected: permanent and mixed-crop farms show lower value added compared with arable farms, larger farms exhibit markedly higher productivity levels, and CAP support has a small but positive association with farm performance. Overall, the evidence points to a growing divergence, with farms in South Italy increasingly falling behind despite structural controls.

The final two regressions for CAP income per farm and per AWU (columns four and five of the table) show an average increase in support at the farm level from 2014 to 2022. All else being equal, this corresponds to an increase of 450 euros of CAP support per farm and 184 euros of CAP support per AWU. The intercept indicates that in 2014, the “base farm” received 4,616 euros in CAP operating aids per year, which corresponds to 6,173 euros per work unit. In 2022, this support increased to 5,070 euros per farm and 6,357 euros per AWU. We observed positive differences for farms in Central and South Italy compared with farms in North Italy in both 2014 and 2022. Moreover, these differences widened in 2022, when farms in Central and South Italy received relatively more CAP support than their counterparts in North Italy did in 2014.

These two last regressions highlight significant differences in CAP income support across farm types and sizes, all other things being equal. Compared with arable crop farms (the baseline category), permanent crop farms receive substantially lower CAP income support (in total terms and per AWU), with highly significant coefficients of -4,222 and -4,640 euros, respectively. Livestock farms show modestly higher total CAP income support, but significantly less support when expressed per AWU (-502.8 euros), suggesting that support is more diluted across their labour force. Mixed farms do not differ significantly from the baseline in terms of total CAP income support, but support is significantly lower when adjusted per AWU, indicating lower labour productivity or more labour-intensive structures.

Large farms receive significantly higher CAP income support than medium-sized ones, confirming the concentration of CAP payments among larger farms. This pattern persists even when support is expressed per AWU, although the differences are smaller in magnitude, suggesting some scale effects in labour efficiency or payment distribution. It is worth noting that the predominance of small and mixed farms in South Italy influences the ability of this macro-region to intercept CAP support.

Taken together, the interactions between the year and regional dummy variables highlight pronounced geographical disparities in farm performance between 2014 and 2022. Using North Italy as the baseline, Central and South Italy exhibit significantly lower FNVA per farm in 2022. The negative and significant coefficients indicate that farms in these regions have lagged behind those in the North over time, with the South experiencing the largest decline. The patterns are similar for FNVA per AWU, confirming that productivity differentials have widened over time. Interestingly, CAP support does not offset these regional agricultural income gaps: despite South Italy receiving higher CAP income support per AWU in 2022, this increase appears insufficient to bridge the income and productivity divide. Overall, the results suggest a growing North-South polarisation in agricultural economic performance that has only partially been mitigated by policy transfers. These findings suggest that addressing the divide will require structural reforms rather than additional income support alone.

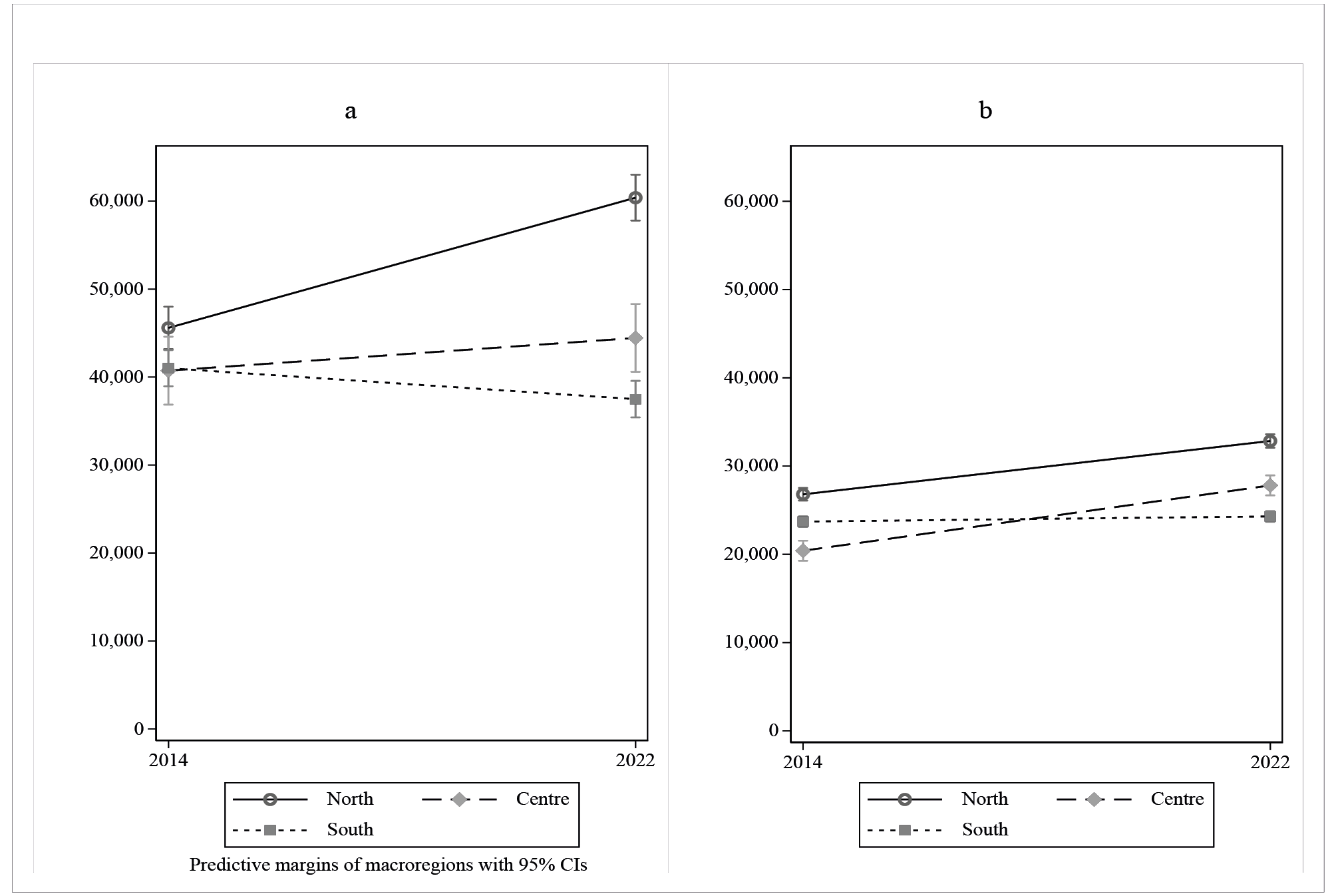
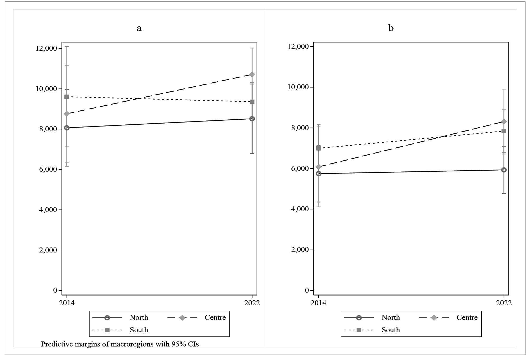
Figures 7 and 8 show the predictive margins in 2014 and 2022 for North, Central, and South macro-regions in Italy, calculated by averaging over all covariates. The graphs display the corresponding difference-in-differences estimates for each macro-region and include confidence intervals, indicating the range of values that, with a given level of confidence, is likely to contain the true population parameter. The margins plots show the model-adjusted predicted means of dependent variables for each macro-region, evaluated at the pre- and post-periods. These margins can be interpreted as the expected values for a “typical” or “average” farm within each group, accounting for the observed distribution of the other covariates and the applied weights. Therefore, the differences between the pre- and post-periods represent the model-based changes in farm performance for an average farm in each macro-region.

Figure 7 reports the margins for FNVA per farm (7a) and per AWU (7b) from 2014 to 2022. The average farm in South Italy widened its gap in value added and labour productivity relative to farms in Central and North Italy.

Figure 7. The average marginal effects of macro-regions on farm net value added (FNVA) (a) and FNVA per annual work unit (AWU) (b) for 2014 and 2022. Source: authors’ estimations based on the Italian FADN dataset for 2014-2022.

Figure 8 presents the estimated changes in CAP income support per farm (8a) and per AWU (8b). For each macro-region, there has been an increase in CAP income support over the years (both per farm and per AWU); the North-South differences are positive for South Italy; and the gap remains throughout the period analysed. Despite receiving higher and rising levels of support, farms in South Italy continue to exhibit substantial, and increasingly large, gaps in agricultural income, both per farm and per AWU.

Figure 8. The average marginal effects of the macro-regions on Common Agricultural Policy (CAP) income support (a) and CAP income support per annual work unit (AWU) (b) for 2014 and 2022. Source: authors’ estimations based on the Italian FADN dataset for 2014-2022.

5. Discussion

As mentioned, few studies have analysed in detail the topic of income gaps in agriculture and the role of the CAP, especially after the introduction of pillars with specific and distinct roles in policy measures in the Agenda 2000 reform. This gap is often taken for granted in the analyses of the effectiveness of CAP support tools, and it has seldom been the central focus. Hence, it is difficult to refer to robust published findings about the role of public support in territorial disparities in agricultural and rural incomes. Nevertheless, we compare our results with some relevant available studies.

In Italy, recent studies have revealed that the aim of the CAP has shifted to reduce agricultural income gaps between central and peripheral areas, and between small and large farms. However, it still fails to address the specific issue of macro-regional agricultural income gaps, perpetuating the “trap” in South Italy. Our work confirms that the “Mezzogiorno problem” and the growing disparity in agricultural income of South Italy compared with the rest of the country still exist, despite the support provided by both regional and agricultural funds.

Following Hansen and Herrmann’s (2012) conceptual framework, to fully understand the redistributive impact of a specific policy, the income gap must be analysed at a defined time period and over time (in our case, 2022 vs 2014). At the Italian sub-national level, we found that the agricultural profitability gap between North and South Italy widened over the period 2014-2022. Furthermore, although farms in South Italy receive on average a higher amount of subsidies than farms in North Italy, such support is unable to compensate for the FNVA gap. These results corroborate the negligible effects of the CAP on territorial convergence of agricultural income identified by Esposti (2007) at the European level and by Hansen and Teuber (2011) in Germany. Analysis at the farm level shows that in 2014, South Italy (and to a greater extent Central Italy) presented a negative gap in agricultural income (FNVA per farm and per AWU) compared with North Italy, and it widened in 2022 compared to 2014. This is due to the combined effect of an increase in agricultural income in North Italy and a reduction in South Italy. At the same time, Central Italy showed an increase in agricultural income, albeit to a lesser extent than North Italy. Farm-level data also confirm that the CAP does not balance territorial disparities in agricultural income. On average, in 2014 farms in South Italy received relatively more CAP income support than farms in North Italy, and this support decreased in 2022. CAP income support per AWU increased between 2014 and 2022 in all three macro-regions, particularly in Central Italy (Figure 8b). In this regard, it should be noted that the first pillar of the CAP, which accounts for the majority of overall farm support, is in fact linked to historical payments granted to specific products, even though the process of internal convergence aims to reduce differences in payments per hectare. This issue can help to explain existing regional disparities in terms of agricultural income.

Another interesting finding from Figure 8 is the higher confidence interval in 2022 compared to 2014. This greater variability can be explained by the entry into force of more complex measures (e.g., investments), which require more time to become fully operational.

6. Conclusions and policy implications

This study confirms the existence of gaps in agricultural income across Italy’s macro-regions. First, we examined whether the two income components - market income (i.e., FNVA) and CAP support - moved in the same or opposite directions. Subsequently, we used regression models to analyse whether the estimated gaps between macro-regions at the sectoral level persist also accounting for the effects of the different characteristics of the macro-regions’ in farming production systems and the role of CAP income support. Our analysis has some limitations. First, we did not fully investigate the contribution of farm specialisation, size, and territorial diversification to the gaps in agricultural income between and within macro-regions. These variables are highly relevant in explaining existing and persisting gaps, given the history of the CAP and the structure of Italian agriculture. Second, we merely established a correlation between agricultural incomes and the investigated variables; it did not allow us to identify any causal relationships. These limits restrict the scope of the paper to some extent; however, the results are still relevant and open the way to further research.

In particular, the sectoral indicators (A, B, and C) revealed a persistent agricultural income gap, with South Italy showing lower agricultural profitability. The regression results confirmed these differences even when farms have the same dimensions and productive characteristics. Indeed, the FNVA gap increased for South Italy during the analysed period. In addition, the analysis of FNVA per AWU demonstrated a negative labour productivity gap for farms in South Italy worsened over time. Conversely, estimates of CAP support differentials show positive gaps for farms in the Centre and South. However, these differentials do not seem to have contributed to reduce or contain gaps in farm income.

Given the current and past picture, what can we expect from the current CAP and the next reform after 2027? Regarding the CAP 2023-2027, the internal convergence of direct payments will continue to shift support from intensive agriculture in lowland areas to extensive agriculture in mountainous areas, marginal areas, and internal peripheral areas, consistent with previous programming. Another shift will result from redistributive income support designed to move financial resources from large farms to small and medium-sized farms. However, these measures have never directly or indirectly addressed the issue of regional disparities, although an effect on the redistribution of support between macro-regions may occur, depending on the structural characteristics of farms located there and their distribution by size. Although small farms benefit from redistributive payments, farms up to 2 hectares and greater than 50 hectares are penalised by the convergence process, to the benefit of farms that are 3-50 hectares in size. More generally, although the Italian CSP has a more tailored and targeted approach, it does not address the issue of sub-national agricultural income disparities in the country, nor does it seem to focus sufficiently on building synergies with other funds operating at the same territorial level.

The reform proposals for the 2028-2034 programming period situate agricultural and rural support within a broader territorial cohesion framework through the creation of the European Fund for Economic, Social and Territorial Cohesion (European Commission, 2025). According to the European Commission, this fund will strengthen the links between policies by providing a unified programming framework for the Cohesion Policy, the CAP, and the Common Fisheries Policy based on a pre-allocated envelope. While this approach is acceptable in some respects, as highlighted in the reviewed literature, it presents certain challenges. Notably, within this framework, the CAP loses its specificity as a sectoral policy, posing a problem of resource governance at the national and regional levels, a very relevant issue in the Italian context. The changes specifically envisaged for the CAP aim at greater convergence of support, definitively eliminating the reference to historical payments and making degressivity and capping of income support per farmer mandatory. Whether this has an impact on the territorial distribution of support will depend on the choices of each MS on how to differentiate support. Our analyses, however, have shown that regions of South Italy already receive relatively more support than the ones in Central and North Italy, but this has not helped to reduce or contain gaps in agricultural income. Instead, structural, organisational, and financial interventions are needed to increase the market component of agricultural income. Only in this way can permanent convergence of agricultural incomes be achieved. Otherwise, the Mezzogiorno trap is likely to persist. The new fund should provide an opportunity to better target support, making policies more consistent with regional needs. Only in this way is it possible to structurally address the factors that determine the persistence of the agricultural income gaps that have emerged.

We addressed the issue of territorial disparities in agricultural income by focusing exclusively on the CAP. This represents an original aspect of the work but can be also seen as a limitation. Future research should focus on integrating this territorial-level analysis of the CAP with Cohesion Policy, overcoming issues of data availability and consistency to provide a coherent understanding of the dynamics at play.

Future research on this field could extend to investigate the factors that contribute to the maintenance of the gap, through the analysis of the causal effects, including other structural and organisational characteristics of farms and variables as proxies for the territorial contexts, such as local prices and externalities, positive and negative. Examining the economic results of the different types of farms will help to identify how much of their results are attributable to the ability to obtain adequate market recognition of their productions and the role played by CAP support. In light of the current CAP and prospects, it is crucial to investigate income components and dynamics, and the importance of the financial support provided by the CAP. Based on our findings, this issue is particularly relevant to balanced and sustainable agricultural and rural area development in Italy.

Acknowledgements and Funding

The authors wish to thank Fabrizio De Filippis and the anonymous reviewers for their precious comments and suggestions to the manuscript that contributed to improve the final version of the paper. The responsibility of the contents of the paper is solely of the authors.

Author Contributions

Conceptualization, M.R.P.D.A., F.C., A.S. and R.H.; Methodology, F.C. and A.S.; Investigation, M.R.P.D.A., F.C., A.S. and R.H.; Data curation, F.C. and A.S.; Writing - Original Draft, M.R.P.D.A. and R.H.; Writing –Review & Editing, M.R.P.D.A., F.C., A.S. and R.H.; Supervision, M.R.P.D.A., and R.H.

References

Alexiadis S., Ladias, C., Hasanagas, N. (2013). A regional perspective of the Common Agricultural Policy. Land Use Policy, 30: 665-669. DOI: https://doi.org/10.1016/j.landusepol.2012.05.013.

Accetturo A., Albanese G., Torrini R., Depalo D., Giacomelli S., Messina G., Scoccianti F., Vacca V.P. (2022). Il divario Nord-Sud: sviluppo economico e intervento pubblico. Banca d’Italia Workshops and Conferences Series, 25.

Anders S., Harsche J., Herrmann R., Salhofer K., Teuber R. (2007). The interregional and intertemporal allocation of EU producer support: magnitude and determinants. Jahrbuch für Regionalwissenschaft (Review of Regional Research), 27(2): 171-193. DOI: https://doi.org/10.1007/s10037-007-0018-3.

Andrei J.V., Sima V., Gheorghe I.G. (2023). An overview assessing of the European Union agricultural sectorial dynamics: a draft analysis from the Romanian perspective. Economics of Agriculture, 70(4): 1235-1250. DOI: https://doi.org/10.59267/ekoPolj23041235V.

Barca F. (2001). New trends and the policy shift in the Italian Mezzogiorno. Daedalus, 130(2): 93-113. http://www.jstor.org/stable/20027698.

Bartolini F., Pagliacci F. (2017). Quality of life and territorial imbalances. A focus on Italian inner and rural areas. Bio-based and Applied Economics, 6(2): 183-208. DOI: https://doi.org/10.13128/BAE-18518.

Bivand R.S., Brunstad R.J. (2006). Regional growth in Western Europe: detecting spatial misspecification using the R environment. Papers in Regional Science, 85(2): 277-297. DOI: https://doi.org/10.1111/j.1435-5957.2006.00086.x.

Bivand R.S., Brunstad R.J. (2003). Regional growth in Western Europe: an empirical exploration of interactions with agriculture and agricultural policy. In Fingleton B. (eds) European Regional Growth (pp. 351-373). Springer, Berlin. DOI: https://doi.org/10.1007/978-3-662-07136-6_13.

Bonfiglio A., Camaioni B., Coderoni S., Esposti R., Pagliacci F., Sotte F. (2016). Where does EU money eventually go? The distribution of CAP expenditure across the European space. Empirica, 43(4): 693-727. DOI: https://doi.org/10.1007/s10663-016-9354-2.

Calegari E., Fabrizi E., Guastella G., Timpano F. (2021). EU regional convergence in the agricultural sector: Are there synergies between agricultural and regional policies? Paper in Regional Science, 100: 23-50. DOI: https://doi.org/10.1111/pirs.12569.

Chmieliński P., Collins A., Cox A., Torrisi G. (2025). Overlapping payoffs and policy synergies: the case of CAP and EU cohesiveness. Global Challenges & Regional Science, 2, 100012. DOI: https://doi.org/10.1016/j.gcrs.2025.100012.

Camarero L., Oliva J. (2019). Thinking in rural gap: mobility and social inequalities. Palgrave Commun 5(95). DOI: https://doi.org/10.1057/s41599-019-0306-x.

Cirianni A., Fanfani R., Gismondi R., (2021), Struttura produttiva e performance economica della filiera agroalimentare italiana, Istat Working Papers, Istat – Istituto Nazionale di Statistica, Rome.

Coppola A., Scardera A., Amato M., Verneau F. (2020). Income levels and farm economic viability in Italian farms: an analysis of FADN data. Sustainability, 12(12), 4898. DOI: https://doi.org/10.3390/su12124898.

Crescenzi R., De Filippis F. (2016). Cohesion policy and rural development. In Piattoni S., Polverari L. (eds) Handbook on Cohesion Policy in the EU (pp. 325-338). Edward Elgar, Cheltenham. DOI: https://doi.org/10.4337/9781784715670.00036.

Crescenzi R., De Filippis F., Pierangeli F. (2015). In tandem for cohesion? Synergies and conflicts between regional and agricultural policies of the European Union. Regional Studies, 49(4): 681-704. DOI: https://doi.org/10.1080/00343404.2014.946401.

Crescenzi R., Giua M. (2014). The EU Cohesion policy in context: regional growth and the influence of agricultural and rural development policies. LEQS Paper 85, December. DOI: https://doi.org/10.2139/ssrn.2542244.

Crescenzi R., Giua M. (2016). The EU cohesion policy in context: does a bottom-up approach work in all regions? Environment and Planning A: Economy and Space, 48(11): 2340-2357. DOI: https://doi.org/10.1177/0308518X16658291.

Daniele V. (2021). Territorial disparities in labour productivity, wages and prices in Italy: what does the data show?. European Urban and Regional Studies, 28: 431449. DOI: https://doi.org/10.1177/09697764211020057.

Dax T. (2006). The territorial dimension of CAP and spatial cohesion. EuroChoices, 5(2): 12-19. DOI: https://doi.org/10.1111/j.1746-692X.2006.00029.x.

Dean G.W., De Benedictis M., Fabiani G., Fanfani R., Marenco G. (1972). Potential use of the Mansholt Plan to restructuring agriculture in the Italian Mezzogiorno. European Economic Review, 3: 1-28. DOI: https://doi.org/10.1016/0014-2921(72)90021-9.

De Castro P., Miglietta P.P., Vecchio Y. (2020). The Common Agricultural Policy 2021-2027: a new history for European agriculture. REA – Rivista di Economia Agraria, 75: 5-12. DOI: https://doi.org/10.13128/rea-12703.

De Filippis F., Henke R. (2014). Modernizzazione e multifunzionalità nell’agricoltura del Mezzogiorno, QA-Rivista dell’Associazione Rossi-Doria, 3: 27-58. DOI: https://doi.org/10.3280/QU2014-003002.

Dinis I. (2024). Examining disparities in common agricultural policy direct payments among farming systems: evidence from Portugal. Agricultural and Food Economics, 12(7). DOI;: https://doi.org/10.1186/s40100-024-00299-6.

Duhr S., Colomb C., Nadin V. (2010). European Spatial Planning and Territorial Cooperation. Routledge, London.

Dumangane M., Freo M., Granato S., Lapatinas A., Mazzarella G. (2021). The regional dimension of the CAP: 2007-2018, JRS Technical report, Publications Office of the European Union, Luxembourg. DOI: https://doi.org/10.2760/60203.

Dwyer J., Ward N., Lowe P., Baldock D. (2007). European rural development under the Common Agricultural Policy’s ‘second pillar’: institutional conservatism and innovation. Regional Studies, 41(7): 873-888. DOI: https://doi.org/10.1080/00343400601142795.

Esposti R. (2007). Regional growth and policies in the European Union: does the Common Agricultural policy have a counter-treatment effect? American Journal of Agricultural Economics, 89(1): 116-134. DOI: https://doi.org/10.1111/j.1467-8276.2007.00967.x.

European Commission (2001). Second Report on Economic and Social Cohesion, Brussels.

European Commission (2021). Evaluation support study on the impact of the CAP on territorial development of rural areas – Socioeconomic aspects – Final report, Publications Office of the European Union, Luxembourg. https://data.europa.eu/doi/10.2762/541389.

European Commission (2025). Proposal for a Regulation of the European Parliament and of the Council establishing the European Fund for economic, social and territorial cohesion, agriculture and rural, fisheries and maritime, prosperity and security for the period 2028-2034 and amending Regulation (EU) 2023/955 and Regulation (EU, Euratom) 2024/2509. COM(2025) 565 final/2, Brussels, 16.7.2025.

Eurostat (2018). Agriculture, forestry and fishery statistics – 2018 edition, Statistical books, Publications Office of the European Union, Luxembourg. DOI: https://doi.org/10.2785/340432.

Eurostat (2025). Economic accounts for agriculture - agricultural income indicators. DOI: https://doi.org/10.2908/AACT_EAA06.

Fabiani G., Henke R. (2020). L’agricoltura meridionale: dall’arretratezza alla dimensione di sistema. In Coco G., De Vincenti C. (eds) Una questione nazionale. Il Mezzogiorno da “problema” a “opportunità”. Collana “Quaderni di Astrid” (pp. 237-245). Il Mulino, Milan. DOI: https://doi.org/10.1444/102185.

Frascarelli A., Ciliberti S., Bartolucci P.E., Mastandrea G. (2025). The CAP coherence between redistributive and environmental goals: do the allocation criteria for direct payments play a role? Agricultural and Food Economics, 13(15). DOI: https://doi.org/10.1186/s40100-025-00356-8.

Galluzzo N. (2021). The role of CAP subsidies in reducing socio-economic marginalisation in Romanian rural areas. Bulgarian Journal of Agricultural Science, 27(4): 633-645.

Giannakis E., Bruggeman A. (2020). Regional disparities in economic resilience in the European Union across the urban–rural divide. Regional Studies, 54(9): 1200-1213. DOI: https://doi.org/10.1080/00343404.2019.1698720.

Giannola A. (2009). Dualismo Nord-Sud e Unione Europea: dove va il sistema Italia? QA- Rivista dell’Associazione Rossi-Doria, 1: 49-64.

Giarda E., Moroni G. (2018). The degree of poverty persistence and the role of regional disparities in Italy in comparison with France, Spain and the UK. Social Indicators Research, 136: 163-202. DOI: https://doi.org/10.1007/s11205-016-1547-3.

Greer A. (2017). Post-exceptional politics in agriculture: an examination of the 2013 CAP reform. Journal of European Public Policy, 24(11): 1585-1603. DOI: https://doi.org/10.1080/13501763.2017.1334080.

Guyomard H., Stickel M., Detang-Dessendre C., Soler L.G., Aubert P.M., Carpentier A., Catallo A., Dupraz P., Gaigne C., Regnier E., Thoyer S. (2024). Research for AGRI Committee—The next reform of the CAP: The variables in the equation, European Parliament, Policy Department of Directorate for Regional Development, Agriculture and Fisheries Policies, Brussels.

Guyomard H., Detang-Dessendre C., Dupraz P., Delaby L., Huyghe C., Peyraud L., Reboud X., Sirami C. (2023). How the Green Architecture of the 2023–2027 Common Agricultural Policy could have been greener, Ambio, 52: 1327-1338. DOI: https://doi.org/10.1007/s13280-023-01861-0.

Hansen H., Herrmann R. (2012). The two dimensions of policy impacts on economic cohesion: concept and illustration for the CAP. Food Policy, 37: 483-491. DOI: https://doi.org/10.1016/j.foodpol.2012.02.008.

Hansen H., Teuber R. (2011). Assessing the impacts of EU’s Common Agricultural Policy on regional convergence: sub-national evidence from Germany. Applied Economics, 43: 3755-3765. DOI: https://doi.org/10.1080/00036841003724395.

Henke R., Benos T., De Filippis F., Giua, M., Pierangeli F., Pupo D’Andrea M.R. (2018). The new common agricultural policy: how do member states respond to flexibility? JCMS: Journal of Common Market Studies, 56(2): 403-419. DOI: https://doi.org/10.1111/jcms.12607.

Henke R., Pomponi T., Vassallo M., Mazzocchi G., Monteleone A., Sorrentino A. (2025). The new CAP and the participative method in decision-making: a textual analysis of the Italian case. JCMS: Journal of Common Market Studies, 63(6): 1822-1844. DOI: https://doi.org/10.1111/jcms.13703.

Hill B. (2000). Agricultural incomes and the CAP. Economic Affairs, 20(2): 11-17. DOI: https://doi.org/10.1111/1468-0270.00217.

Kiss L.B. (2020). Examination of agricultural income inequality in the European Union. Business Ethics and Leadership, 4(3): 36-45. DOI: http://doi.org/10.21272/bel.4(3).36-45.2020.

Ilies R.I., Borlea S.N., Lucuţ Capraş I. (202). Theoretical and statistical arguments of the differentiated effect of the Common Agricultural Policy in the EU countries. Annales Universitatis Apulensis Series Oeconomica, 25(2): 53-67. DOI: https://doi.org/10.29302/oeconomica.2023.25.2.1.

ISMEA, Svimez (2017). Rapporto sull’agricoltura del Mezzogiorno. Dicembre 2016, Rome.

Iuzzolino G., Pellegrini G., Viesti G. (2011). Convergence among Italian regions, 1861–2011, Quaderni di Storia Economica (Economic History Working Papers) n. 22, Banca d’Italia, Rome. DOI: https://doi.org/10.2139/ssrn.2239019.

Lepore A. (2012). Il divario Nord-Sud dalle origini a oggi. Evoluzione storica e profili economici. Rivista Economica del Mezzogiorno, 3: 389-410. DOI: https://doi.org/10.1432/38969.

Li X., Yang P., Zou Y (2023). An empirical investigation of the “Mezzogiorno trap” in China’s agricultural economy: insights from data envelopment analysis (2015–2021). Agriculture, 13, 1806. DOI : https://doi.org/10.3390/agriculture13091806.

Lillemets J., Fertő I., Viira A-H. (2022). The socioeconomic impacts of the CAP: systematic literature review. Land Use Policy, 114, 105968. DOI: https://doi.org/10.1016/j.landusepol.2021.105968.

Manta A.G., Doran N.M., Bădîrcea R.M., Badareu G., Ghertescu C., Lăpădat C.V.M. (2024). Does Common Agricultural Policy influence regional disparities and environmental sustainability in European Union countries? Agriculture, 14(12), 2242. DOI : https://doi.org/10.3390/agriculture14122242.

Mantino F., De Fano G., Asaro G. (2022). Analysing the policy delivery system and effects on territorial disparities in Italy: the mechanisms of territorial targeting in the EU Rural Development Programmes 2014–2020. Land, 11, 1883. DOI: https://doi.org/10.3390/land11111883.

Marino M., Rocchi B., Severini S. (2024). Assessing the farm–nonfarm households’ income gap along the income distribution in the European Union. JCMS: Journal of Common Market Studies, 62(2): 318-340. DOI: https://doi.org/10.1111/jcms.13494.

Martínez García F.M., Cárdenas Alonso G., Nieto Masot A. (2024). Impact of the Common Agricultural Policy (CAP) on the development of rural territories: principal component analysis in SW Spain, Extremadura (2007–2020). Agriculture, 14, 1497. DOI: https://doi.org/10.3390/agriculture14091497.

Matthews A. (2024). What is actually happening with agricultural incomes?, CAP Reform. http://capreform.eu/what-is-actually-happening-with-agricultural-incomes/.

Meloni C., Grazini C., Marino M., Rocchi B., Severini S. (2024). Are rural households poorer than non-rural households in Europe? Journal of Rural Studies, 106, 103214. DOI: https://doi.org/10.1016/j.jrurstud.2024.103214.

Mihai F.C., Iatu C. (2020). Sustainable rural development under Agenda 2030. In Bastante-Ceca M.J., Fuentes-Bargues J.L., Hufnagel L., Mihai F.C., Iatu C. (eds) Sustainability Assessment at the 21st Century (pp. 9-18). IntechOpen, London. DOI: https://doi.org/10.5772/intechopen.78105.

Mikuš O., Kukoč M., Jež Rogelj M. (2019). The coherence of common policies of the EU in territorial cohesion: a never-ending discourse? A review. Agricultural Economics – Czech, 65: 143-149. DOI: https://doi.org/10.17221/229/2018-AGRICECON.

Mingo R. (2023). The marginality trap. Deconstructing the administrative framework for a reform of local governance: the case of Calabria between top-down and bottom-up dynamics. Regional Science Policy & Practice, 15(7): 1458-1476. https://doi.org/10.1111/rsp3.12672.

Molica F., Santos A.M. (2025). Mapping uncharted territory: research gaps in EU cohesion policy from a policy-making perspective. Regional Studies, Regional Science, 12(1): 517-531. DOI: https://doi.org/10.1080/21681376.2025.2514503.

Montresor E., Pecci F., Pontarollo N. (2011). The convergence process of the European regions: the role of Regional Policy and the Common Agricultural Policy. Studies in Agricultural Economics, 113(2): 167-177. DOI: https://dx.doi.org/10.7896/j.1112.

OECD (2021). OECD Economic Surveys: European Union 2021, OECD Publishing, Paris. DOI: https://doi.org/10.1787/a77ab220-en.

Papadopoulos A.G. (2015). The impact of the CAP on Agriculture and Rural Areas of EU Member States. Agrarian South: Journal of Political Economy, 4(1): 22-53. DOI: https://doi.org/10.1177/2277976015574054.

Pierangeli F., Biagini L., Pupo D’Andrea M.R., Severini S., Sorrentino A. (2025). The CAP direct payments reform 2023–2027 in Italy: a path to fairer redistribution? Agricultural and Food Economics, 13(39): 1-24. DOI: https://doi.org/10.1186/s40100-025-00384-4.

Pierangeli F., Cagliero R., Cesaro L., Carfì S., Giampaolo A., Manzoni P., Pastorelli G., Ruscio L., Scardera A., Pupo D’Andrea M.R. (2023). CAP 2023-2027: effects of direct payments internal convergence in Italy? Italian Review of Agricultural Economics, 78(1): 87-96. DOI: https://doi.org/10.36253/rea-14168.

Podbielski G. (1981). The Common Agricultural Policy and the Mezzogiorno. JCMS: Journal of Common Market Studies, 19(4): 331-350. DOI: https://doi.org/10.1111/j.1468-5965.1981.tb00240.x.

Quadro Curzio A., Fortis M. (eds) (2014). L’economia reale nel Mezzogiorno. Collana della Fondazione Edison. Il Mulino, Milan.

Runowski H. (2020). Dilemmas of measuring and evaluating income in agriculture in the European Union. Annals of the Polish Association of Agricultural and Agribusiness Economists, XXII(1): 289-299. DOI: https://doi.org/10.5604/01.3001.0013.7868.

Salvati L., Zitti M., Carlucci M. (2017). In-between regional disparities and spatial heterogeneity: a multivariate analysis of territorial divides in Italy. Journal of Environmental Planning and Management, 60(6): 997-1015. DOI: https://doi.org/10.1080/09640568.2016.1192023.

Schmid E., Sinabell F., Hofreither M.F. (2006). Distributional effects of CAP instruments on farm household incomes in Austria. 2006 American Agricultural Economics Association Annual Meeting, July 23-26, Long Beach, CA. DOI: https://doi.org/10.22004/ag.econ.21467.

Shucksmith M., Cameron S., Merridew T., Pichler F. (2009). Urban–rural differences in quality of life across the European Union. Regional Studies, 43(10): 1275-1289. DOI: https://doi.org/10.1080/00343400802378750.

Shucksmith M., Thomson K.J., Roberts D. (eds) (2005). The CAP and the Regions: The Territorial Impact of the Common Agricultural Policy. CABI Publishing, Wallingford, UK.

Tarditi S., Zanias G. (2001). Common agricultural policy. In Hall R., Smith A., Tsoukalis L. (eds) Competitiveness and Cohesion in EU Policies (pp. 179-215). Oxford University Press, Oxford. DOI: https://doi.org/10.1093/oso/9780198295228.003.0006.

Uthes S., Herrera B. (2019). Farm-level input intensity, efficiency and sustainability: a case study based on FADN farms. 59th Annual Conference, Braunschweig, Germany, September 25-27, 2019, German Association of Agricultural Economists (GEWISOLA). DOI: https://doi.org/10.22004/ag.econ.292342.

Watson M.M. (1970). Regional Development Policy and Administration in Italy. Longman Group Ltd., London.

Table A.1. List of the Common Agricultural Policy (CAP) measures included in the Italian Farm Accountancy Data Network (FADN) used in this study.
Aid granted on an operating account basis
Pillar I payments Sectoral support under Common Market Organisation (Regulation (EU) 1234/2007, 479/2008, and 1308/2013)
Specific support (Regulation (EU) 73/2009, article 68)
Optional implementation for specific types of farming and quality production (Regulation (EU) 1782/2003, article 69)
Voluntary coupled support (Regulation (EU) 1307/2013, article 52)
Single payment scheme (Regulation (EU) 1782/2003)
Basic income support (Regulation (EU) 1307/2013)
Payment for agricultural practices beneficial for the climate and the environment (Regulation (EU) 1307/2013)
Small farmers scheme (Regulation (EU) 1307/2013)
Payment for young farmers (Regulation (EU) 1307/2013)
Pillar II payments Italian Rural Development Plan 2007-2013 (Regulation (EU) 1698/2005)
Axis I – Competitiveness
Knowledge and human potential (article 20(a) – M. 111, 112, 114, and 115)
Physical potential and innovation (article 20(b) – M. 124)
Quality of agricultural production and products (article 20(c) – M. 131, 132, 133, and 144)
Axis II – Environment and countryside
Sustainable use of agricultural land (article 36(a) – M. 211, 212, 213, 214, 215, and 216)
Sustainable use of forestry land (article 36(b) – M. 221, 222, 223, 224, 225, 226, and 227)
Axis III – Quality of life in rural areas and diversification
Training and information (article 52(c) – M. 331)
Axis IV – LEADER
Competitivity (article 63(a) – M. 411)
Running the local action group, acquiring skills and animating the territory (article 63(c) – M. 431)
Italian Rural Development Plan 2014-2020 Regulation (EU) 1305/2013
Knowledge transfer and information actions (article 14 – M. 1.1)
Advisory services, farm management, and farm relief services (article 15 – M. 2.1, 2.2, and 2.3)
Quality schemes (article 16 – M. 3.1 and 3.2)
Non-productive investments linked to the achievement of agri-environment-climate objectives (article 17 – M. 4.4)
Restoring agricultural production potential (article 18 – M. 5.1 and 5.2)
Farm and business development (article 19 – M. 6.1, 6.2, and 6.3)
Basic services and village renewal in rural areas (article 20 – M. 7.2 and 7.8)
Investments in forest area development (article 21 – M. 8.1, 8.2, 8.3, and 8.6)
Agri-environment-climate payments (article 28 – M. 10.1 and 10.2)
Organic farming (article 29 – M. 11.1 and 11.2)
Natura 2000 and Water Framework Directive payments (article 30 – M. 12.1, 12.2, and 12.3)
Payments to areas facing natural or other specific constraints (article 31 – M. 13.1, 13.2, and 13.3)
Animal welfare (article 33 – M. 14)
Forest-environmental and climate services and forest conservation (article 34 – M. 15.1 and 15.2)
Co-operation (article 35 –M. 16.1 to 16.7 and 16.9)
Risk management (article 36 – M.17.1, 17.2, and 17.3)
LEADER local action groups (article 42 – M. 19.1 to 19.4)
Table A.2. Absolute values of Indicators A, B, C, and D (values in euros).
2014 2015 2016 2017 2018 2019 2020 2021 2022
Indicator A: Index of the real income of factors in agriculture per annual work unit
North 35,999 37,117 36,324 37,284 37,995 34,535 40,395 45,994 45,648
Centre 24,319 26,033 24,508 24,349 25,573 25,677 29,330 29,609 33,173
South 22,240 23,022 22,720 22,674 22,155 22,820 24,579 26,586 25,361
Total 27,517 28,796 28,333 28,495 28,826 27,902 31,292 34,279 34,316
Indicator B: Index of real net agricultural entrepreneurial income, per unpaid annual work unit
North 28,932 31,021 30,479 32,390 33,587 29,364 36,857 44,904 42,989
Centre 20,524 22,922 20,528 20,301 21,216 21,354 25,975 25,549 30,480
South 22,429 22,773 22,021 21,745 20,447 20,666 24,482 26,577 23,416
Total 24,799 26,198 25,436 25,946 26,122 24,463 29,783 33,825 32,514
Indicator C: Net entrepreneurial income of agriculture
North 34,051 37,267 36,938 38,279 40,055 34,834 47,428 57,041 55,224
Centre 23,630 26,692 22,481 22,624 23,646 23,603 28,892 28,856 33,457
South 20,166 20,686 18,725 19,315 17,624 17,594 21,555 23,484 20,752
Total 25,656 27,503 25,816 26,614 26,553 24,649 31,299 35,502 34,171
Indicator D: Net entrepreneurial income of agriculture, net of CAP support, in Italian FADN
North 24,777 27,006 27,489 29,084 30,986 25,200 35,556 45,494 43,795
Centre 15,093 17,501 14,356 14,281 14,229 14,271 19,436 17,637 21,670
South 12,540 12,679 11,968 12,168 10,508 10,056 13,777 15,294 12,384
Total 17,308 18,519 17,897 18,561 18,410 16,105 21,902 25,737 24,270
Note: CAP, Common Agricultural Policy; FADN, Farm Accountancy Data Network.
Source: authors’ elaborations based on the Italian FADN dataset for 2014-2022.

1 The EAA are a satellite account of the European System of Accounts (ESA). Regulation (EC) No 138/2004. National Statistical Institutes or Ministries of Agriculture are responsible for data collection and calculation of national EAA, in accordance with European Commission regulations. Eurostat is responsible for the EU aggregations.

2 CAP support includes all funding provided by the CAP, such as direct support, market measures, and rural development, during the 2014-2022 programming period. Table A.1 in the Appendix provides the details for all aid considered in this study.

3 FNVA = output + pillar I and annual pillar II payments + any national subsidies + VAT balance − intermediate consumption − farm taxes (income taxes are not included) – depreciation.

4 SO is the regional average monetary value of agricultural output at the farm-gate price, per hectare or per head of livestock. The total SO per farm, calculated by summing the SO per hectare of crops and per head of livestock, was used to measure the farm’s overall economic size.

5 The absolute values of the indicators are reported in Table A.2 in the Appendix.

6 Although the investment aid is a big booster of profitability, we did not include it because of a time lag between when the aid was received and when the benefit was realised. Moreover, investment aid follows an irregular flow that depends on the progress of the project and the payment capacity of the providing institution.